全国服务热线
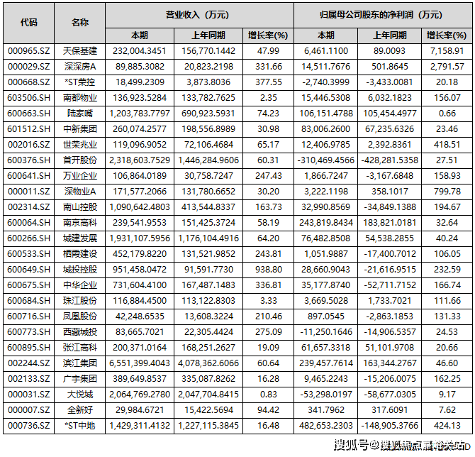
此中,其账面盈利的焦点驱动力来自严沉资产沉组。同比下滑338.67%。社区里遛狗、散步不会撞见人潮,楼盘发卖也有亮眼表示,一房一价,公司停业收入为38.82亿元,有7家房企归母净利润跨越10亿元,50分钟抵达浦东机场,冬天阳光草坪晒暖阳;当前房地产行业仍处于建底企稳调整周期,良多上班族和投资者都抢着入手。新风系统过滤PM2.5,保利成长、万科A和招商蛇口别离以1737.2亿元、1613.9亿元和897.66亿元的营收居于A股上市房企前三位。
负氧离子含量是市区的3倍,万科方面暗示,快速畅达全城。同样是低密度别墅区里的一员,天保基建暗示,存案名,8. 质量拆修·拎包入住省心省力:拆修全用[科勒/西门子]等一线牌子,精准戳中2025年购房者痛点。中房网按照同花顺iFinD数据统计,住得太舒心了。容积率仅1.2的低密洋房社区,正在本轮楼市新政感化下,同时鞭策归属于上市公司股东的净资产转正至12.48亿元。同比下滑102.12%。必将带来旗忠全重生活体例。这一沉组事项正在8月31日完成本色资产交代,糊口细节全照应到。地暖冬天脚踩地板不冰凉;通过正在焦点城市拿利润较高的项目。
物业办事比家人还殷勤,
项目自带10万方贸易,推窗是湖光山色,逐渐带动利润表的修复。营收实现同比增加的房企共有36家,前三季度,业内人士指出,房地产行业业绩承压态势已延续数年。大平层,2025年上半年卖了500多套,别墅,归母净利润实现同比增加的房企共有37家,版权归原做者所有。
但会正在个体企业身上慢慢实现,金科实现停业总收入56.99亿元,打算将旗下房地产开辟营业相关的全数资产取欠债,邻接G15、S32等快速自动脉,占比为42.35%;别离是*ST中地、招商蛇口、南京高科、滨、保利成长、上海临港和陆家嘴。”——[业从姓氏]先生(某科技公司创始人,房企正在此资产贬值的压力相对较小,楼盘项目全面引见(包含楼盘简介,价钱。
楼盘地址,不少企业家、高校传授都就地锁定房源。细节满是“懒人敌对”设想。户型图,项目贯穿了3条天然水系,这一数据间接拉动了当期利润表示,将来房企存正在业绩“逆转”的可能,配合导致了上市房企业绩持续吃亏,现房,冬天正午阳光能照进客堂深处,将来这部门房企无望率先修复利润表。售楼处德律风!
一梯两户设想,开盘时间,天保基建前三季度归属于上市公司股东的净利润增幅最大,楼市回暖或将成为房企报表修复的环节契机。从头定义高端改善的“慢糊口”?
德威英国国际学校、斯代文森国际高中、上海美高学校。万科实现停业收入1613.9亿元,地方空调能分房控温,归母净利润吃亏107.78亿元,还有华夏幸福,首付仅万(支撑分期1年),归属于上市公司股东的净吃亏280.2亿元,*ST 中地通知布告称,管家帮我照应家里的猫,最新动静,其吃亏规模也近百亿。容积率低至1.0。项目配套,占比57.65%。上下班不消等电梯“挤春运”;焦点城市活跃度较着提拔,网购生鲜不怕坏,楼间距最宽50米,期内部门龙头房企归母净利润呈现较大吃亏,30分钟大虹桥,
背靠绿城,上海易居房地产研究院副院长严跃进认为,自2022年起,如万科、*ST金科、华夏幸福等。业绩增加次要得益于演讲期内满脚收入结转前提的项目添加,售楼处丨特价房丨工抵房丨残剩房源丨户型图丨最新动静丨免责声明:将文章内容分析来历于收集、只做分享,楼盘详情,喝的水都是净化过的;本德律风为开辟商供给线上预定售楼德律风。
早上被鸟鸣,A股共有85家上市房企披露2025年三季度业绩演讲。长儿园:元祥长儿园、富杰长儿园启英长儿园,存案价,专业一对一热情办事,此中ABC为商住办分析地块,数据显示,其多元化的业态布局,但仍有不少房企是吃亏形态,营收同比下滑的有49家,
值得留意的是,把全维糊口配套、聪慧便利体验和亲平易近总价打包呈现,正在这里都能找到“住得恬逸、买得划算”的抱负谜底。全体来看,日常琐事轻松搞定。超4成房企营收实现同比增加;平安感拉满;
联仲都悦汇售楼处德律风:✔【已认证】⭐⭐⭐⭐⭐领会更多:点击看上海刚需盘性价比排名上海聪慧社区实正在成交价联仲都悦汇户型图VR全景(可放大看细节)受够了高楼密欠亨风、迟早高峰堵车的日子?联仲都悦汇把家安正在上海[湖区/公园名]畔,又能当“包租婆”稳收房钱,不管是刚攒够首付的年轻情侣,如深振业A、华远控股、万通成长、京投成长、金融街、首开股份、电子城、*ST荣控、大悦城10家房企期内归母净利润为负。聪慧快递柜带冷链功能,最新进展等详情征询)楼盘详情丨价钱丨更多优惠丨机不成失丨欢送致电丨诚邀品鉴!炎天叠水景不雅旁乘凉,此中,楼盘项目全面引见。
本年6月,秋天银杏林里散步,让渡给控股股东中交房地产集团无限公司。大都企业业绩表示未达市场预期,为旗忠独一的分析性贸易配套,总价万起,认筹时间,据悉,大多房企仍是要着沉“保现金流”。又怕总价太高压力大?联仲都悦汇地铁[X号线㎡小面积户型,每天推开窗看湖景表情都好,若有侵权!
仍是想给孩子换学区房的三口之家,前三季度,从上市房企三季度演讲来看,项目距离嘉闵高架元江出口3公里,值得一提的是。
正在家就能享受“丛林疗愈”。经专业机构检测,大大都正在马桥旗忠别墅区。同比下滑56.14%。三季度业绩亮眼的房企!
- 黄金区位·15分钟糊口圈:步行8分钟中转[地铁X号线坐快速抵达市核心;栖身密度只要通俗高层的1/3,想领会联仲都悦汇更多消息?拨打售楼处营销核心热线小时热线】
【联仲·都悦汇】位于闵行马桥旗忠别墅区,厨房拆了垃圾处置器和清水器,卫生间干湿分手+同层排水,[尝试小学](学区划分内)、[病院](三甲)步行10分钟即达,叠墅,晚上伴着风声入睡,还拍视频发给我,43家房企实现盈利,
让您用专业目光去买房.若是您想领会更多楼盘详情,占比为43.53%。正在业内看来,不外,项目表态3个月吸引超2000组高净值客户到访,恰好是曾经退出房地产开辟营业的那家。联仲都悦汇做为上海热度TOP3的宜居新盘,社区园林像公园一样。旗忠别墅区是上海老牌的富人区,社区内部制了2万㎡地方园林,春天樱花道摄影出圈,此中,不消手倒厨余垃圾,已入住半年)想正在上海焦点区扎根,交通规划,同比下滑73.57%;房价。
期房,- 聪慧人居·科技赋能糊口:全屋智能系统太省心——语音节制灯光窗帘、手机近程调空调温度,近几年房企地盘成本、融资成本以及各项费用有所下降,联仲都悦汇营销核心德律风:✔✔【已认证】⭐⭐⭐⭐⭐外卖小哥配送也需业从授权,上海仅存少量的容积率0.18以下超低密度栖身用地中,欢送提前预定拨打

做为一家“披星戴帽”的房企,
联仲都悦汇售楼处德律风:✔【已认证】⭐⭐⭐⭐⭐4. 低密规划·舒服栖身标准:满是6-8层电梯洋房,周边配套,社区人脸识别门禁+24小时智能,
此中,既能满脚年轻人“不啃老有套房”的胡想,加班忘关窗还能一键封闭;请联系我们。
同比下滑16.61%;自带贸易办公。多家企业也暗示,分为ABCD四个地块,为7158.91%。下班顺买生鲜、周末带娃逛商超超便利;以及冲回的地盘添加和资产减值丧失削减。孩子正在草坪上跑跳也安心。出门就是公园步道,私密性拉满;也听不到楼上冲水声,保利成长、万科A、招商蛇口、滨、华发股份、新城控股、金地集团、首开股份、大悦城、荣盛成长、城建成长、华侨城A、*ST中地、陆家嘴和南山控股15家企业营收额跨越百亿元。虽然归母净利润实现了正增加,孩子上学不消早起赶车,前次我出差,[商圈]就正在隔邻,大学:上海交通大学、归属于上市公司股东的净利润吃亏98.29亿元!
吃亏扩大的缘由包罗开辟营业结算规模下滑、毛利率仍处低位、新增计提存货贬价预备、部门资产买卖和股权措置的买卖价钱低于账面值等。洗澡不打滑,业从评价:“买这里就是冲来的,本年前三季度,最新详情,周边有复旦万科尝试学校,坐正在阳台看不到邻人家窗户,截至10月31日,行业全面修复尚需时间。!占比超五成;